Wikipedia Collages and the Pareto Principle
If bees were paid the minimum wage, a jar of honey would cost $200,000.

The Pareto principle says that 80% of outcomes come from 20% of causes.

That's interesting for a number of reasons, but in general it says something fundamental about how the world works.

80% of donations in a fundraiser come from 20% of donors, the top 20% of earners pay 80% of the taxes in the US, 20% of your code contains 80% of the bugs, the hardest 20% of a project takes 80% of the time, and the most difficult 20% of your job will take 80% of your effort.
It might be a good idea, then, to identify the most difficult parts of a challenge and prioritize them accordingly.

80% of wins come from the best 20% of players, with 20% effort you can match 80% of the best gambler's results, 80% of land is owned by 20% of people, 20% of people account for 80% of healthcare resources, and 80% of crimes are committed by 20% of people.

What's even more interesting is that if you take the top 20%, then 20% of that 20% will again account for 80% of the outcomes in the original top 20%. And the same is true for the bottom 80%. This suggests that it follows some kind of power rule, which it does.

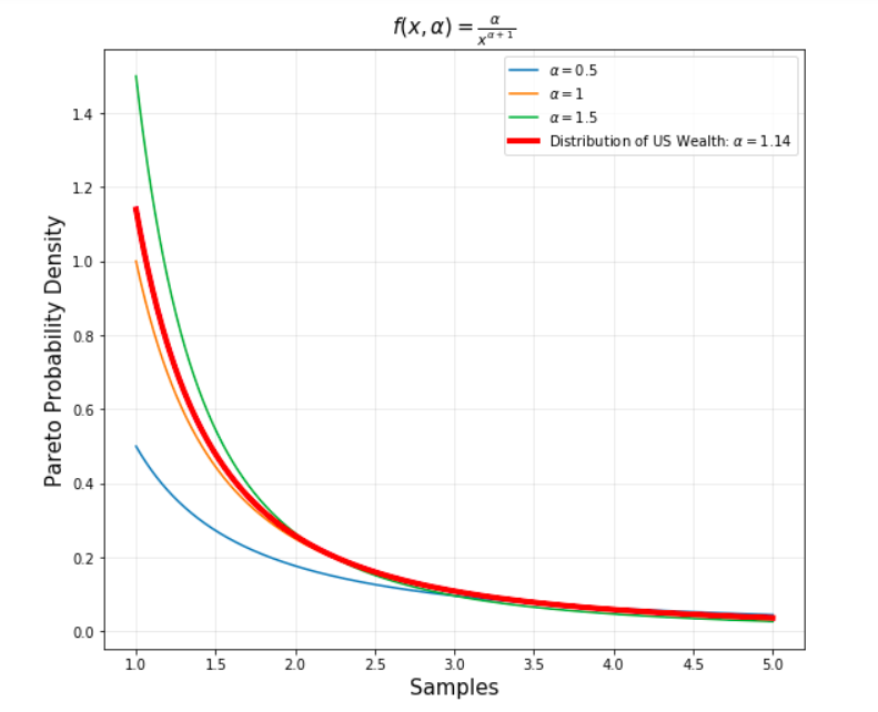
The Pareto distribution is most often used to model wealth distribution in the US, which is the red curve on these graphs.

Most things are not uniform, and your efforts will not pay off equally. Individuals who are selected initially are more likely to be selected again, and those who are not are more likely to be rejected.
So, it's important to work hard in the beginning regardless of your starting conditions.
New boat, who dis?

In the words of John Dale, "She's such a fixer upper it's not even funny."
...and far away in the marsh.

Thankfully I had Marlon to help me get it out.

We pushed it into the water and prayed it would float (it did).

Then we row-floated probably a mile down the inlet to the landing where I parked my trailer.


And swam of course.
Then we retrieved the mast/rudders/everything else, which involved driving down a way too narrow trail with the mast on the roof.
Needless to say, it was very successful and fun.

Wikipedia Collages
I wrote a program that makes collages out of Wikipedia images.

It takes in the link to a wikipedia page and spits out a collage of the images it finds on that page and related pages. It's pretty interesting to see what it comes up with.

Surprise! Coding is creative.


Right now I'm learning how to launch this as a web app, so maybe that will be up by next time.


