Reactance Resistance Impedance Admittance Conductance Susceptance
I learned a lot of things this week.

This week I helped to perform measurements using a network analyzer. Basically, a network analyzer is a device that is, in the words of my advisor, "more expensive than a house, but not in Geneva."
It looks kind of like this.

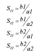
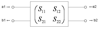
This machine creates signals at a range of frequencies, and it is designed to test various parameters of a circuit to gain as much information about the system as possible. We are using it in it's two port mode, and specifically we are looking at the S-parameters (scattering parameters). This means that there are two cables connected to the machine, an input and an output. At each port, we are measuring the reflection and transmission in relation to each other to determine the S-parameters. The S-parameters are defined as the following:


To normalize these ratios, we define a reference impedance Z, where impedance is the combined value of the resistance and reactance of the circuit. This puts the S-parameters into context.
I was also introduced to the Smith chart, which is a cool looking plot of "the complex reflection overlaid with an impedance and/or admittance grid."

It's pretty complicated, and I'm not going to pretend to understand it fully. We used it when we were getting results we weren't expecting to try and understand what was happening. At its most basic function, it can tell you if there is a short (far left), if you have a match (dead center), or if there is an open (far right).
We used these tools to make measurements on a part of the LHC that is responsible for maintaining the vacuum seal during expansion and contraction. The magnets of the LHC must be cooled to really really cold temperatures (like -271.3°C) to allow for superconductivity. This is becomes a problem, because when things get that cold, they shrink. The LHC is 27 km long when it is warm, but when it is cooled it shrinks by about 50 m. To allow this to happen, there are seams that look like this ⇩.

This part works well to allow the LHC to do its thing when it comes to changing lengths, but because it's not perfectly smooth, it's not totally efficient. When the beam of protons passes through this area, it can "get caught" on the imperfections in the form of resonant modes. This makes the beam less powerful, which is exactly what we don't want. The finger looking parts act as a faraday cage and prevent the beam from entering into the crinkly sleeve area, where they constructively interfere and build resonances that diminish the beam.
We ran a thin copper wire through this apparatus and connected it to the network analyzer to simulate the proton beam. We analyzed the S-parameters in a range of frequencies that most closely mimic the actual beam, and we did this at various extended and contracted positions to simulate cooling.
I feel like I learned more in a couple hours of hands on experience than I could have in a month of readings and lectures.

This Week Was a Grind.
It was the end of our mini-semester classes, and that means literally everything was due. I presented on the discovery of the Muon, in French on the strange things that the Vietnamese eat, finished two final projects, and took an exam. It was also Valentines day this week.

The grind didn't stop until Saturday night, when we had to turn in our final projects for computational.
Lausanne
Lausanne is a city on the other side of the lake from Geneva. Its really similar to Geneva, but smaller.


It was a beautiful sunny day, and actually warm too. I didn't even wear a jacket.


At some points on the lake it's really difficult to tell where the water ends and the sky begins.



They have big chess in Lausanne too.



I was eating a crepe when a really old couple (both 87) invited me to sit with them. I accepted, and they were talking to me in French. Their names were Gaston and Maria and they were from Egypt, but moved to Switzerland when they were 25. It was obvious I wasn't a native French speaker, so they asked me what my first language was. When I told them English, Maria got very excited because she went to Cambridge to study English, and she loves to practice.
